Related Vendors
The increase in solids loading ratio has also had a dramatic effect on the nature of the conveying limit for the material at low values of air flow rate. With low values of air pressure the material can only be conveyed in a dilute phase and as the pressure available gradually increases, the conveying capability of the material gradually changes.
The Limits of Conveying
For the fine grade of fly ash in Figure 3, conveying could be carried out reliably with air velocities down to 3 m/s. The shape of the conveying limit, however, needs a little explanation. There are three discreet sections to this limit:
- One is the approximately straight line section at 3 m/s. This holds for the fly ash when conveyed at solids loading ratio values of above 80.
- The second is the approximately straight line section at a conveying line inlet air velocity of about 11 m/s. This is the limit for the dilute phase conveying region for fine ash, where the air supply pressure is too low to achieve dense phase conveying.
- The third is the curved line joining the above defined limits. The locus of this line is derived from the relationship between the conveying line inlet air velocity and the maximum value of solids loading ratio. This relationship is presented in Figure 4.

The relationship shown in Figure 4 does vary with the material and its grade. The figure displays a mean approximation and should be reasonably reliable for most of the materials having a mean particle size of around 30 microns.
Power Requirements
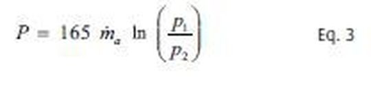
On comparing the performance of the two grades of fly ash, widely different air flow rates are required and different ash flow rates are achieved. A useful basis for comparison of these two grades of fly ash would be to compare them on the basis of power requirements. For an accurate assessment of power, it will be necessary to consult manufacturers’ literature.
With this, different machines capable of meeting the duty can be compared. For a quick, approximate assessment, a simple model based on isothermal compression can be used:
and with R = 0∙287 kJ/kg K for air and T = 288 K:
Using this model, it is a relatively straightforward operation to superimpose lines of constant power requirement onto the conveying characteristics.


This has been done for both the coarse and fine grades of fly ash and the results are presented in Figures 5 and 6.
(ID:43241661)

