Related Vendors
Common Problems in Bin Flow
In the steel industry, a common problem in bin flow is arching. It takes place about 2–2.5 m from the bin outlet. Tata’s Iron & Steel plant at Jamshedpur faced a problem in the flux bin (-3 mm mixture of lime stone and dolomite). To solve the problem, the company used an air blaster along with a local hammer at a 2.5 m level. This solution offered a good result.
Conditions of Mass Flow
For mass flow to occur, the following basic conditions have to be satisfied:
- a) The hopper wall must be sufficiently steep/inclined. This has got a significant influence on the flow pattern. Although a standard practice is to make slope of the hopper at least as steep as or little more the angle of repose of the material being stored, the same shall only guarantee emptying of the hopper and may or may not develop a condition suitable for mass flow. It has been established that the profile of the hopper is a function of (a) effective kinematic angle of internal friction ‘δ’ of the bulk material being stored and (b) angle of friction ‘ø’ between hopper wall surface (liner) and the bulk material. The critical hopper angle cr measured from the vertical, can be expressed mathematically as

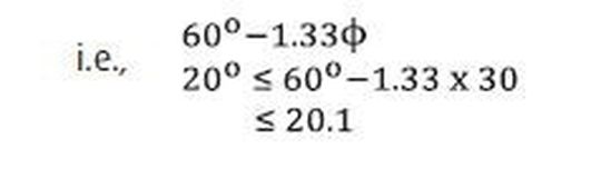
- Extensive researches carried out by Jenike & Johanson have established that the hopper angle ‘ ’ should be less than or equal to 60° – 1.33 ø ..............(II)
- b) The hopper wall must be smooth enough so that the mechanical interlocking force between the particles of material is more than the sliding friction between the material and the hopper wall. In other words, the frictional force between the material and hopper wall should be less than the frictional force developed between the material particles during motion. Mathematically, this can be expressed as

- c) Hopper outlet dimension is also an important factor for mass flow to occur. As per Jenike & Johanson, the minimum outlet dimension, i.e., width of hopper ‘B’ shall be

- Where, fc = Unconfined yield strength in kg/m2 ; = Bulk density in kg/m3. To ensure mass flow in hoppers, all the
- above conditions have to be fulfilled.
Case Study for Hopper of a Raw Material Unloading System
The profile of a hopper designed for a raw material unloading system has been checked with different materials handled and the conditions are stipulated in table 1.

The critical hopper angles calculated with above values of & for the materials are given as

The hopper angle is critical for iron ore fines. Hence, the design of the hopper has to be based on the material. The hopper angle provided is 20° with the vertical.
Check for condition in (II)

Check for condition in (III) above

To calculate the hopper opening dimension, the following values are considered. The opening provided is 650 mm Hence, the hopper dimensions and profile are suitable for mass flow of materials.
This article is a general guide line for designing the mass flow bins/bunkers. Apart from this, various flow aids have been developed along with suitable liners, which can be used to combat flow problems. Extensive experiment work is still going on in India as well as other countries to overcome these difficulties.

* Both authors are with M N Dastur & Company (P)
(ID:43306666)